Robot Archery
December 2021 : Solution
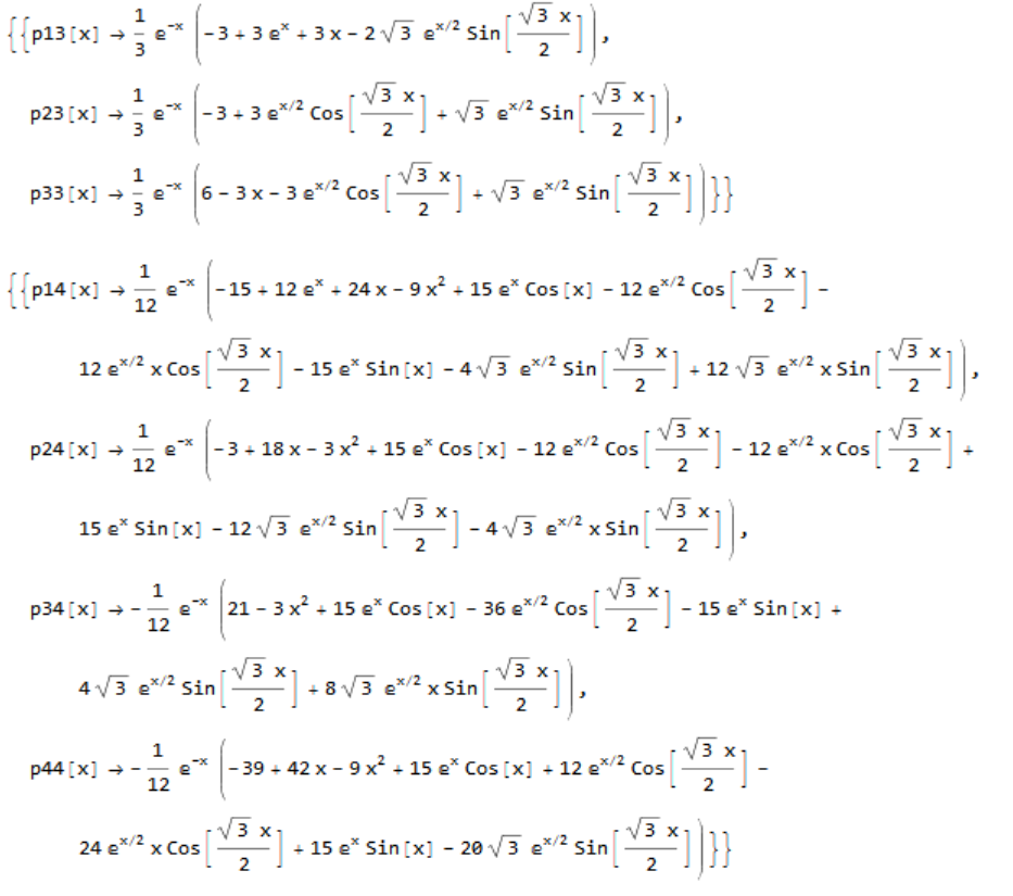
[Above is a Mathematica-derived solution to the systems of equations described in the 4-player tournament described below]
Without loss of generality we can assume an arrow’s distance to the center of the target is U[0,1] distributed. Let Pj,k(x) denote the probability that Player j out of k in the current line will eventually win the game, given that the current best dart is at distance x.
In a 2-player archery tournament, we would have P1,2(x) + P2,2(x) = 1, P1,2(0) = 0, and P1,2(x) = ∫0x P2,2(u) du. Taking derivatives of both sides in that last equation and substituing gives P‘1,2(x) = −P1,2(x). Solving gives P1,2(x) = 1−e−x.
In the 3-player version of the game, we get the following system of equations:
P1,3(x) = ∫0x P3,3(u) du
P2,3(x) = (1 - x)P1,2(x) + ∫0x P1,3(u) du
P1,3(x) + P2,3(x) + P3,3(x) = 1
P1,3(0) = P2,3(0) = 0.
And for the 4-player version we have the following:
P1,4(x) = ∫0x P4,4(u) du
P2,4(x) = (1 - x)P1,3(x) + ∫0x P1,4(u) du
P3,4(x) = (1 - x)P2,3(x) + ∫0x P2,4(u) du
P1,4(x) + P2,4(x) + P3,4(x) + P4,4(x) = 1
P1,4(0) = P2,4(0) = P3,4(0) = 0.
In particular we have P4,4(1) = (-5/4)*(cos(1) + sin(1)) + (1/2)*e-1 + (e-1/2)*(cos(sqrt(3)/2) + 5/sqrt(3)*sin(sqrt(3)/2)), or approximately 0.18343765086.
Congrats to this month’s solvers!
